한국전기설비규정(KEC) 정리 4번째 130 전로의 절연에서 131부터 134까지 정리하였습니다.
전로의 절연저항 및 절연내력과 회전기 및 정류기의 절연내력 연료전지 및 태양전지 모듈의 절연내력 부분까지 정리되며 다음회차에 전로의 절연 2로 변압기 및 기구부분 정리하려고 합니다.
전기안전관리자 및 전기 공부하시는 분들께 조금이나마 도움되시기를 바랍니다.

(130 전로의 절연)
131 전로의 절연 원칙

전로는 다음 이외에는 대지로부터 절연하여야 한다.
1. 수용장소의 인입구의 접지, 고압 또는 특고압과 저압의 혼촉에 의한 위험방지 시설, 피뢰기의 접지, 특고압 가공전선로의 지지물에 시설하는 저압 기계기구 등의 시설, 옥내에 시설하는 저압 접촉전선 공사 또는 아크 용접장치의 시설에 따라 저압전로에 접지공사를 하는 경우의 접지점
2. 고압 또는 특고압과 저압의 혼촉에 의한 위험방지 시설, 전로의 중성점의 접지 또는 옥내의 네온 방전등 공사에 따라 전로의 중성점에 접지공사를 하는 경우의 접지점
3. 계기용변성기의 2차측 전로의 접지에 따라 계기용변성기의 2차측 전로에 접지공사를 하는 경우의 접지점

4. 특고압 가공전선과 저고압 가공전선의 병행 설치에 따라 저압 가공 전선의 특고압 가공 전선과 동일 지지물에 시설되는 부분에 접지공사를 하는 경우의 접지점
5. 중성점이 접지된 특고압 가공선로의 중성선에 25 kV 이하인 특고압 가공전선로의 시설에 따라 다중 접지를 하는 경우의 접지점
6. 파이프라인 등의 전열장치의 시설에 따라 시설하는 소구경관(박스를 포함한다)에 접지공사를 하는 경우의 접지점
7. 저압전로와 사용전압이 300 V 이하의 저압전로[자동제어회로ㆍ원방조작회로ㆍ원방감시장치의 신호회로 기타 이와 유사한 전기회로(이하 “제어회로 등” 이라 한다)에 전기를 공급하는 전로에 한한다]를 결합하는 변압기의 2차측 전로에 접지공사를 하는 경우의 접지점

8. 다음과 같이 절연할 수 없는 부분
가. 시험용 변압기, 기구 등의 전로의 절연내력 단서에 규정하는 전력선 반송용 결합 리액터, 전기울타리의 시설에 규정하는 전기울타리용 전원장치, 엑스선발생장치(엑스선관, 엑스선관용변압기, 음극 가열용 변압기 및 이의 부속 장치와 엑스선관 회로의 배선을 말한다. 이하 같다), 전기부식방지 시설에 규정하는 전기부식방지용 양극, 단선식 전기철도의 귀선(가공 단선식 또는 제3레일식 전기 철도의 레일 및 그 레일에 접속하는 전선을 말한다. 이하 같다) 등 전로의 일부를 대지로부터 절연하지 아니하고 전기를 사용하는 것이 부득이한 것.
나. 전기욕기・전기로・전기보일러・전해조 등 대지로부터 절연하는 것이 기술상 곤란한 것.
9. 저압 옥내직류 전기설비의 접지에 의하여 직류계통에 접지공사를 하는 경우의 접지점
132 전로의 절연저항 및 절연내력

1. 사용전압이 저압인 전로의 절연성능은 기술기준 제52조를 충족하여야 한다. 다만, 저압 전로에서 정전이 어려운 경우 등 절연저항 측정이 곤란한 경우 저항성분의 누설전류가 1 mA 이하이면 그 전로의 절연성능은 적합한 것으로 본다.

2. 고압 및 특고압의 전로(131, 회전기, 정류기, 연료전지 및 태양전지 모듈의 전로, 변압기의 전로, 기구 등의 전로 및 직류식 전기철도용 전차선을 제외한다)는 표 132-1에서 정한 시험전압을 전로와 대지 사이(다심케이블은 심선 상호 간 및 심선과 대지 사이)에 연속하여 10분간 가하여 절연내력을 시험하였을 때에 이에 견디어야 한다. 다만, 전선에 케이블을 사용하는 교류 전로로서 표 132-1에서 정한 시험전압의 2배의 직류전압을 전로와 대지 사이(다심케이블은 심선 상호 간 및 심선과 대지 사이)에 연속하여 10분간 가하여 절연내력을 시험하였을 때에 이에 견디는 것에 대하여는 그러하지 아니하다.
표 132-1 전로의 종류 및 시험전압
| 전 로 의 종 류 | 시 험 전 압 |
| 1. 최대사용전압 7 kV 이하인 전로 | 최대사용전압의 1.5배의 전압 |
| 2. 최대사용전압 7 kV 초과 25 kV 이하인 중성점 접지식 전로(중성선을 가지는 것으로서 그 중성선을 다중접지 하는 것에 한한다) | 최대사용전압의 0.92배의 전압 |
| 3. 최대사용전압 7 kV 초과 60 kV 이하인 전로(2란의 것을 제외한다) | 최대사용전압의 1.25배의 전압(10.5 kV 미만으로 되는 경우는 10.5 kV) |
| 4. 최대사용전압 60 kV 초과 중성점 비접지식전로(전위 변성기를 사용하여 접지하는 것을 포함한다) | 최대사용전압의 1.25배의 전압 |
| 5. 최대사용전압 60 kV 초과 중성점 접지식 전로(전위 변성기를 사용하여 접지하는 것 및 6란과 7란의 것을 제외한다) | 최대사용전압의1.1배의 전압 (75 kV 미만으로 되는 경우에는 75 kV) |
| 6. 최대사용전압이 60 kV 초과 중성점 직접접지식 전로(7란의 것을 제외한다) | 최대사용전압의 0.72배의 전압 |
| 7. 최대사용전압이 170 kV 초과 중성점 직접 접지식 전로로서 그 중성점이 직접 접지되어 있는 발전소 또는 변전소 혹은 이에 준하는 장소에 시설하는 것. | 최대사용전압의 0.64배의 전압 |
| 8. 최대사용전압이 60 kV를 초과하는 정류기에 접속되고 있는 전로 | 교류측 및 직류 고전압측에 접속되고 있는 전로는 교류측의 최대사용전압의 1.1배의 직류전압 |
| 직류측 중성선 또는 귀선이 되는 전로(이하 이장에서 “직류 저압측 전로”라 한다)는 아래에 규정하는 계산식에 의하여 구한 값 |
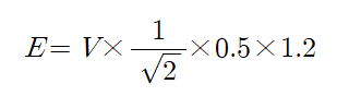
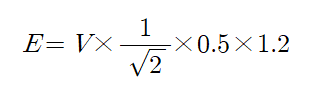
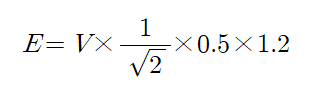
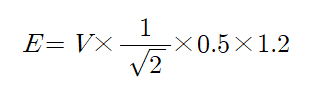
표 132-1의 8에 따른 직류 저압측 전로의 절연내력시험 전압의 계산방법은 다음과 같이 한다.

E: 교류 시험 전압(V를 단위로 한다)
V: 역변환기의 전류 실패 시 중성선 또는 귀선이 되는 전로에 나타나는 교류성 이상전압의 파고 값(V를 단위로 한다). 다만, 전선에 케이블을 사용하는 경우 시험전압은 E의 2배의 직류전압으로 한다.
3. 최대사용전압이 60 kV를 초과하는 중성점 직접접지식 전로에 사용되는 전력케이블은 정격전압을 24시간 가하여 절연내력을 시험하였을 때 이에 견디는 경우, 제2의 규정에 의하지 아니할 수 있다(참고표준: IEC 62067 및 IEC 60840).

4. 최대사용전압이 170 kV를 초과하고 양단이 중성점 직접접지 되어 있는 지중전선로는, 최대사용전압의 0.64배의 전압을 전로와 대지 사이(다심케이블에 있어서는, 심선상호 간 및 심선과 대지 사이)에 연속 60분간 절연내력시험을 했을 때 견디는 것인 경우 제2의 규정에 의하지 아니할 수 있다.
5. 특고압전로와 관련되는 절연내력은 설치하는 기기의 종류별 시험성적서 확인 또는 절연내력 확인방법에 적합한 시험 및 측정을 하고 결과가 적합한 경우에는 제2(표 132-1의 1을 제외한다)의 규정에 의하지 아니할 수 있다.
6. 고압 및 특고압의 전로에 전선으로 사용하는 케이블의 절연체가 XLPE 등 고분자재료인 경우 0.1 Hz 정현파전압을 상전압의 3배 크기로 전로와 대지사이에 연속하여 1시간 가하여 절연내력을 시험하였을 때에 이에 견디는 것에 대하여는 제2의 규정에 따르지 아니할 수 있다.
133 회전기 및 정류기의 절연내력

회전기 및 정류기는 표 133-1에서 정한 시험방법으로 절연내력을 시험하였을 때에 이에 견디어야 한다. 다만, 회전변류기 이외의 교류의 회전기로 표 133-1에서 정한 시험전압의 1.6배의 직류전압으로 절연내력을 시험하였을 때 이에 견디는 것을 시설하는 경우에는 그러하지 아니하다.
표 133-1 회전기 및 정류기 시험전압
| 종 류 | 시 험 전 압 | 시 험 방 법 | ||
| 회 전 기 |
발전기ㆍ전동기ㆍ무효 전력 보상 장치ㆍ기타회전기(회전변류기를 제외한다) | 최대사용전압 7 kV 이하 |
최대사용전압의 1.5배의 전압(500 V 미만으로 되는 경우에는 500 V) | 권선과 대지 사이에 연속하여 10분간 가한다. |
| 최대사용전압 7 kV 초과 |
최대사용전압의 1.25배의 전압(10.5 kV 미만으로 되는 경우에는 10.5 kV) | |||
| 회전변류기 | 직류측의 최대사용전압의 1배의 교류전압(500 V 미만으로 되는 경우에는 500 V) | |||
| 정 류 기 |
최대사용전압이 60 kV 이하 | 직류측의 최대사용전압의 1배의 교류전압(500 V 미만으로 되는 경우에는 500 V) | 충전부분과 외함 간에 연속하여 10분간 가한다. | |
| 최대사용전압 60 kV 초과 | 교류측의 최대사용전압의 1.1배의 교류전압 또는 직류측의 최대사용전압의 1.1배의 직류전압 | 교류측 및 직류고전압측단자와 대지 사이에 연속하여 10분간 가한다. | ||
134 연료전지 및 태양전지 모듈의 절연내력
연료전지 및 태양전지 모듈은 최대사용전압의 1.5배의 직류전압 또는 1배의 교류전압(500 V 미만으로 되는 경우에는 500 V)을 충전부분과 대지사이에 연속하여 10분간 가하여 절연내력을 시험하였을 때에 이에 견디는 것이어야 한다.
전기 직무고시 업무도 놓치지 마시고 챙겨주세요.
📌 함께 보면 좋은 글
⚡ 전기안전은 예방이 최우선입니다! 지금 바로 한국전기설비규정(KEC)를 확인하세요. 🚀